Cinemática
| Site: | Moodle UFSC - Apoio aos Cursos Presenciais |
| Curso: | Design Instrucional em Ambiente Virtual de Aprendizagem |
| Livro: | Cinemática |
| Impresso por: | Usuário visitante |
| Data: | terça-feira, 3 fev. 2026, 02:00 |
Descrição
Notas de Aula III


Exatamente como na Mecânica que você estou em Física I, o objetivo da Cinemática é a descrição do movimento cujas grandezas relevantes são as que descrevemos até aqui (velocidade de propagação, amplitude, frequência, comprimento de onda, número de onda, frequência angular) e as que vamos definir agora: posição, velocidade e aceleração de elementos individuais da corda.
|
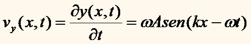
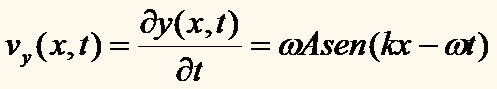
Velocidade transversal de um elemento da corda
|
|
A representação gráfica em função do tempo para x=0 é: |
|
Como relacionar a velocidade transversal e a aceleração transversal com a inclinação e a concavidade?
|
|
Agora vamos combinar tudo, ou seja, tanto a parte espacial quanto a parte temporal da função de onda:
Visualizando tudo num único gráfico, o do deslocamento em função da posição temos:
|

A função de onda é uma função que é solução da equação de onda. A equação de onda é equivalente à segunda lei de Newton. E as funções de onda possíveis são aquelas que satisfazem à equação de onda definida em 1d como:


A velocidade de propagação da onda foi apresentada até agora utilizando-se a definição de velocidade de ondas periódicas:
v = λf
Entretanto, podemos nos perguntar se essa velocidade pode ser obtida a partir de propriedades do meio.
Ela aumenta ou diminui com a tensão?
Ela aumenta ou diminui de acordo com a densidade linear de massa?
Há diferentes formas de se fazer essa dedução e apresentaremos duas delas a seguir.
|
Na primeira dedução vamos chegar à velocidade de fase a partir da análise dimensional:
|

No segundo procedimento, vamos chegar à velocidade utilizando-se a segunda lei de Newton. Para isso, precisamos determinar qual é a força resultante responsável pelo movimento vertical de um elemento da corda. Olhando para um elemento da corda:

|
|
















