Ir para o conteúdo principal
Moodle UFSC - Presencial Legado
Você acessou como visitante (
Acessar
)
Design Instrucional em Ambiente Virtual de Aprendizagem
Página inicial
Cursos
Design Instrucional
Tópico 5
Dinâmica
Dinâmica
Anterior
Próximo
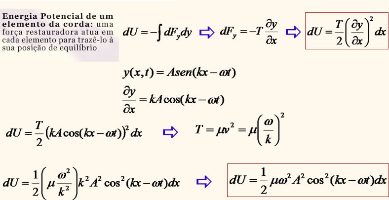
Além de energia cinética temos a contribuição da energia potencial:
Anterior
Próximo
◄ Cinemática
Seguir para...
Seguir para...
Dissertação
Para ler: Aula 1 (Notas de aula)
Para ler: Aula 2 (Notas de aula)
Para ler: Aula 3 (Notas de aula)
Fórum: Experimento mental
Fórum: Reflexão
Orientação sobre o Workshop
WIKI: Orientações Básicas
Wiki: Relatividade Restrita
Laboratório de Avaliação
Teste sua compreensão
Tudo é relativo?
O Conflito com a Mecânica Clássica
Atividade I: A busca pelo Éter
Atividade II: A busca pelo éter
Responda: Os resultados da busca pelo éter
Eisntein entra em ação
As novas regras
Responda: Os novos mandamentos
Questões práticas
Dinâmica Relativística - Mudanças Radicais I
Mudanças Radicais II
Unidades Convenientes
Limite clássico: Newton está totalmente errado?
Partículas sem massa
Radiação de Corpo Negro
Atividade: Radiação de Corpo Negro
O Efeito Fotoelétrico
Atividade Efeito Fotoelétrico
Espectros Atômicos
Átomo de Bohr
Laboratório Virtual: Experimento de Frank-Hertz
Atividade: Experimento de Frank-Hertz
Poste aqui as tabelas e gráficos
Espalhamento Compton
Espalhamento Compton
Escolha dos temas para o Glossário
Glossário- Termodinâmica
Quiz
Ajuda com as atividades semipresenciais?
Lição 1
Pesquise e socialize
Lição 2
Definições
Cinemática
Interferência de Ondas
Questionário
Tarefa I: "Gráficos do Deslocamento Transversal"
Tarefa II:"Gráficos na Dinâmica"
Glossário: Ondas Mecânicas
Lição - OM
Quiz
Definições
Energia e Momento Linear
Polarização
Tarefa 1
Tarefa 2
Laboratório de Avaliação
Quiz
Glossário: Ondas Eletromagnéticas
Fórum de discussão
Lição-ÓTICA
Interferência de Ondas ►